强化学习 Reinforcement Learning
(Chrome无法播放优酷? 网址框输入"chrome://settings/content/", 勾选允许 Flash Player. 实在不行? 请 点击这里)
Deep Deterministic Policy Gradient (DDPG) (Tensorflow)
作者: 莫烦 编辑: 莫烦 2017-04-22
学习资料:
- 全部代码
- 修改版代码
- 什么是 Deep Deterministic Policy Gradient 短视频
- 什么是 Policy Gradient 短视频
- 论文 Continuous control with deep reinforcement learning
- 我的 DQN 教程
- 我的 Actor Critic 教程
要点
一句话概括 DDPG:
Google DeepMind 提出的一种使用 Actor Critic 结构, 但是输出的不是行为的概率, 而是具体的行为,
用于连续动作 (continuous action) 的预测. DDPG 结合了之前获得成功的 DQN 结构, 提高了 Actor Critic 的稳定性和收敛性.
因为 DDPG 和 DQN 还有 Actor Critic 很相关,
所以最好这两者都了解下, 对于学习 DDPG 很有帮助. 我的教程链接都能在上面的学习资料中找到.
下面是这节内容的效果提前看:
算法
DDPG 的算法实际上就是一种 Actor Critic, 我在上一篇中简短地介绍了 Actor Critic 的算法.
不太清楚的同学先去看看上一篇吧.

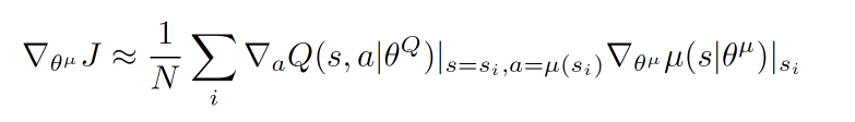
关于 Actor 部分, 他的参数更新同样会涉及到 Critic, 上面是关于 Actor 参数的更新,
它的前半部分 grad[Q] 是从 Critic 来的, 这是在说: 这次 Actor 的动作要怎么移动, 才能获得更大的 Q,
而后半部分 grad[u] 是从 Actor 来的, 这是在说: Actor 要怎么样修改自身参数, 使得 Actor 更有可能做这个动作.
所以两者合起来就是在说: Actor 要朝着更有可能获取大 Q 的方向修改动作参数了.

上面这个是关于 Critic 的更新, 它借鉴了 DQN 和 Double Q learning 的方式,
有两个计算 Q 的神经网络, Q_target 中依据下一状态, 用 Actor 来选择动作, 而这时的 Actor
也是一个 Actor_target (有着 Actor 很久之前的参数). 使用这种方法获得的 Q_target 能像 DQN
那样切断相关性, 提高收敛性.
主结构
注意, 录视频的时候代码有个地方有小错误, 以下部分和视频中有些地方不同, 特别是计算 Actor 更新的时候.
所以请以文字描述中的为准.
我们用 Tensorflow 搭建神经网络, 主结构可以见这个 tensorboard 的出来的图.

看起来很复杂吧, 没关系, 我们一步步来, 拆开来看就容易了. 首先看看 Actor
和 Critic 中各有什么结构.

其搭建的代码部分在这 (如果想一次性看全部, 请去我的Github):
class Actor(object):
def __init__(self):
...
with tf.variable_scope('Actor'):
# 这个网络用于及时更新参数
self.a = self._build_net(S, scope='eval_net', trainable=True)
# 这个网络不及时更新参数, 用于预测 Critic 的 Q_target 中的 action
self.a_ = self._build_net(S_, scope='target_net', trainable=False)
...
class Critic(object):
def __init__(self):
with tf.variable_scope('Critic'):
# 这个网络是用于及时更新参数
self.a = a # 这个 a 是来自 Actor 的, 但是 self.a 在更新 Critic 的时候是之前选择的 a 而不是来自 Actor 的 a.
self.q = self._build_net(S, self.a, 'eval_net', trainable=True)
# 这个网络不及时更新参数, 用于给出 Actor 更新参数时的 Gradient ascent 强度
self.q_ = self._build_net(S_, a_, 'target_net', trainable=False)
Actor Critic
有了对 Actor Critic 每个里面各两个神经网络结构的了解, 我们再来具体看看他们是如何进行交流,
传递信息的. 我们从 Actor 的学习更新方式开始说起.

这张图我们就能一眼看穿 Actor 的更新到底基于了哪些东西. 可以看出, 它使用了两个
eval_net, 所以 Actor class 中用于 train 的代码我们这样写:
with tf.variable_scope('policy_grads'):
# 这是在计算 (dQ/da) * (da/dparams)
self.policy_grads = tf.gradients(
ys=self.a, xs=self.e_params, # 计算 ys 对于 xs 的梯度
grad_ys=a_grads # 这是从 Critic 来的 dQ/da
)
with tf.variable_scope('A_train'):
opt = tf.train.AdamOptimizer(-self.lr) # 负的学习率为了使我们计算的梯度往上升, 和 Policy Gradient 中的方式一个性质
self.train_op = opt.apply_gradients(zip(self.policy_grads, self.e_params)) # 对 eval_net 的参数更新
同时下面也提到的传送给 Actor 的 a_grad 应该用 Tensorflow 怎么计算. 这个 a_grad
是 Critic class 里面的, 这个 a 是来自 Actor 根据 S 计算而来的:
with tf.variable_scope('a_grad'):
self.a_grads = tf.gradients(self.q, a)[0] # dQ/da
而在 Critic 中, 我们用的东西简单一点.

下面就是 Critic 更新时的代码了.
# 计算 target Q
with tf.variable_scope('target_q'):
self.target_q = R + self.gamma * self.q_ # self.q_ 根据 Actor 的 target_net 来的
# 计算误差并反向传递误差
with tf.variable_scope('TD_error'):
self.loss = tf.reduce_mean(tf.squared_difference(self.target_q, self.q)) # self.q 又基于 Actor 的 target_net
with tf.variable_scope('C_train'):
self.train_op = tf.train.AdamOptimizer(self.lr).minimize(self.loss)
最后我们建立并把 Actor 和 Critic 融合在一起的时候是这样写的.
actor = Actor(...)
critic = Critic(..., actor.a, actor.a_) # 将 actor 同它的 eval_net/target_net 产生的 a/a_ 传给 Critic
actor.add_grad_to_graph(critic.a_grads) # 将 critic 产出的 dQ/da 加入到 Actor 的 Graph 中去
同样, 如果你觉得只看部分代码不舒服, 这里有全部代码.
记忆库 Memory
以下是关于类似于 DQN 中的记忆库代码, 我们用一个 class 来建立.
关于 Memory 的详细算法, 请直接去我的 Github 中看, 这样更简单.
class Memory(object):
def __init__(self, capacity, dims):
"""用 numpy 初始化记忆库"""
def store_transition(self, s, a, r, s_):
"""保存每次记忆在 numpy array 里"""
def sample(self, n):
"""随即从记忆库中抽取 n 个记忆进行学习"""
每回合算法
这里的回合算法只提到了最重要的部分, 省掉了一些没必要的, 有助理解. 如果想一次性看到全部代码, 请去我的 Github
var = 3 # 这里初始化一个方差用于增强 actor 的探索性
for i in range(MAX_EPISODES):
...
for j in range(MAX_EP_STEPS):
...
a = actor.choose_action(s)
a = np.clip(np.random.normal(a, var), -2, 2) # 增强探索性
s_, r, done, info = env.step(a)
M.store_transition(s, a, r / 10, s_) # 记忆库
if M.pointer > MEMORY_CAPACITY: # 记忆库头一次满了以后
var *= .9998 # 逐渐降低探索性
b_M = M.sample(BATCH_SIZE)
... # 将 b_M 拆分成下面的输入信息
critic.learn(b_s, b_a, b_r, b_s_)
actor.learn(b_s)
s = s_
if j == MAX_EP_STEPS-1:
break
我也用这套 DDPG 测试过自己写的机器手臂的环境, 发现效果也还行. 有兴趣的朋友可以看到这里.
简化版代码(录完视频后发现了小错误, 重写了代码)
后来我在回过头来看代码, 结果发现计算 Actor 更新时有点小问题, 所以就修改了之前的代码.
但是修改后我觉得.. 代码变得累赘了, 所以我觉得再重写一个, 简化所有流程.
能看到这一个板块的朋友们有没有感到绝望(MD 看了那么久上面的代码, 结果有个更简单的). 哈哈,没关系.
学习代码和技术不要嫌多. 所以代码就直接看吧, 相信有了上面的了解, 看这份代码会比较容易.
莫烦Python